南宁市兴宁区第二初级中学教师招聘(24人)
2026-03-10 14:49:14
南宁市兴宁区第二初级中学是兴宁区党委、政府重点打造的公办初级中学,是自治区信息技术2.0试点校。这里毗邻地铁3号线和5号线,临靠狮山公园、沙江河湿地公园。
一、招聘学科
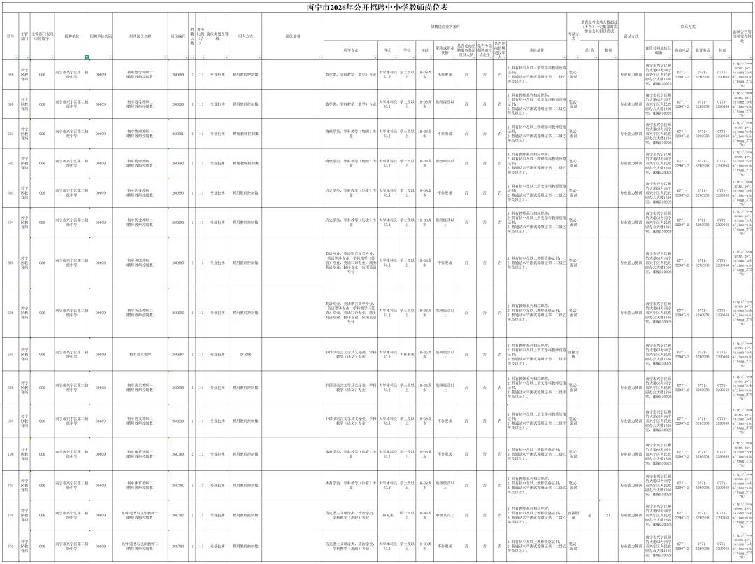
在南宁市2026年公开考试招聘中小学教师工作中,南宁市兴宁区第二初级中学招聘24人,学科为:数学、物理、历史、英语、语文、体育、道德与法治,欢迎报考!(岗位序号689—703)

报名方式详看《南宁市2026年公开考试招聘事业单位工作人员简章》
二、招聘条件
具有国家承认的学历,符合岗位所需条件人员。
三、信息发布
本次公开招聘公告、增加考试环节、面试人选名单和拟聘人员公示在南宁市教育局网站(http://jy.nanning.gov.cn/)“南宁市2026年公开考试招聘中小学教师”专题发布,面试公告、体检、考察等其他具体事宜由各县(市、区)在相关网站发布。
四、报名和资格审查
考试报名实行网上报名、网上资格审查、网上查询、网上交费、网上打印报名登记表和笔试准考证。报考人员对招聘岗位的资格条件需要咨询时,请直接拨打岗位表所列咨询电话联系。招聘岗位要求的学历、专业等资格条件由招聘单位及其主管部门设置并负责解释。
(一)网上报名时间:2026年3月11日8:00至3月17日18:00。
(二)网上资格审查时间:2026年3月11日8:00至3月19日18:00。
(三)交纳报名考试费时间:2026年3月11日8:00至3月20日17:00。
(四)改报岗位时间:2026年3月24日8:00至17:00。
(五)改报岗位资格审查时间:2026年3月24日8:00至18:00。
(六)笔试准考证、报名登记表打印时间:2026年4月20日8:30至4月25日11:00。
五、考试
笔试时间:2026年4月25日(星期六)上午10:00—11:30。
面试:除直接考核岗位外,所有岗位须参加招聘单位本级教育局组织的面试,面试方式为专业能力测试(具体事项由招聘单位本级教育局另行通知)。
六、考察、体检
考察、体检先后顺序由招聘单位及其主管部门结合实际情况确定,同时在面试公告中明确。
七、公示和聘用
详见南宁市教育局网站、主管部门明确的相关网站公示。
原文链接:https://mp.weixin.qq.com/s/po4f_YZidcqHmr-aG9XnCQ
声明:本网站部分内容来源于网络搜集及网友投稿,由本站编辑整理发布,仅用于学习交流使用,非盈利目的,如涉及侵权请联系本站管理员进行删除或修改。
官方微博
关注微博